Compared with traditional aqueous secondary batteries such as lead-acid, nickel-hydrogen, and nickel-cadmium batteries, LiFePO4 lithium-ion batteries have the advantages of long cycle life high energy density, and high battery safety.
LiFePO4 batteries have become the most promising battery system among the various battery systems. Therefore, LiFePO4 batteries are widely used in electric vehicle power supply, large-scale energy storage, communication base stations, electric bicycles, and solar panel systems.
This article mainly studies and elaborates on the cycle life, high-speed charge-discharge performance, acupuncture safety, and weight energy density of LiFePO4 lithium-ion batteries.
1. Cycle performance of LiFePO4 battery
As one of the key components of electric vehicles, batteries account for about half of the cost of electric vehicles. Therefore, the battery life directly determines the cost of using electric vehicles. Due to the stable chemical properties of the positive and negative materials of LiFePO4 batteries, the charge volume and voltage change during the discharge process is very small, so the cycle life is very long.
Figure 1 shows that a 20Ah 12v lithium-ion battery is charged with a current of 1C to 3.65V and then converted to a constant voltage until the current drops to 0.02C; the discharge current is 1C, the cycle life under the condition of the cut-off voltage of 2.0V (charge and discharge depth 100%).
Figure 1 shows that the battery’s remaining capacity is still more than 80% of the initial capacity after the cycle exceeds 1600 times. Although the current cost of LiFePo4 power supply batteries is slightly higher than lead-acid batteries, the longer battery life will significantly reduce EV usage and maintenance costs.
2. Discharge performance at different rates
Since LiFePO4 batteries can be discharged at different rates in practical applications, the discharge capacity decreases rapidly in some battery systems as the discharge current increases. Therefore, to understand the discharge performance of LiFePO4 batteries at high rates, discharge the 20Ah LiFePO4 battery at 0.5C, 1C, and 3C, respectively. The results are shown in Figure 2.
It can be seen from Figure 2 that when the discharge current is increased from 0.5C to 3C, the discharge capacity of the battery decreases slightly, but only by less than 5%, suggesting that the lithium iron phosphate battery is still good at high rates and is working. At the same time, the 3C discharge rate can meet the needs of electric vehicles under high-rate discharge conditions, so electric vehicles have strong climbing and acceleration capabilities.
3. High charging power
The fast charging performance of the battery can cause EVs to use emergency charging methods in unexpected situations, which is more convenient for EV use. Figure 3 shows the test results of a battery with an actual capacity of 20 Ah charged with a current of 3C, reaching 3.65 V, and then switched to constant voltage charging.
From Figure 3, it can be seen that the battery’s capacity changes linearly with time in the initial phase of charging. It can reach 55% battery capacity in 15 minutes, 90% in 25 minutes, and more than 95% in 30 minutes. This shows that the LiFePO4 battery can be charged at a higher rate, and the battery can be fully charged in a short time.
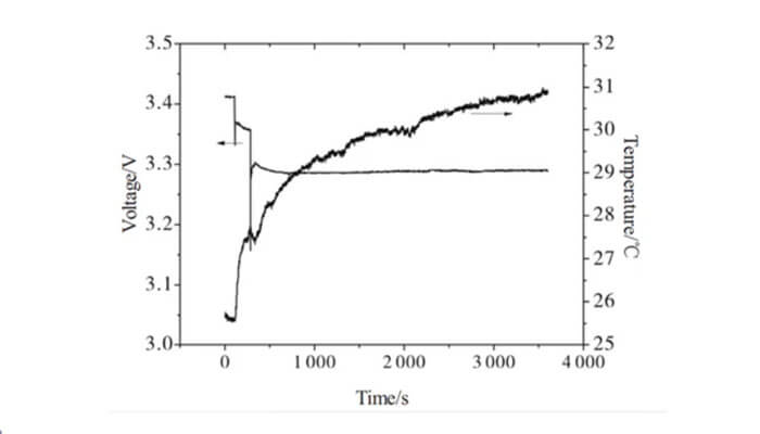
4. The safety of LiFePO4 batteries
LiFePO4 materials are chemically very stable, especially high-temperature stability is very good. Even very high temperatures can not be decomposed to release oxygen, so the safety performance of lithium iron phosphate batteries is very good. They are not easy to burn and explode and other hazards.
With a good structural design, safety has been further improved so that the battery will not burn or explode in the event of an impact, needle stick, short circuit, etc. Figure 4 shows a 20Ah LiFePO4 battery pack that is fully charged, a steel nail of 8mm diameter quickly punctured the battery pack, and the voltage and temperature changes of the battery pack were recorded.
As seen from Figure 4, at the beginning of nail insertion, due to the internal short circuit, the battery voltage drops rapidly, a certain amount of heat is released, and the temperature rises.
However, since the internal vacuum of the battery drops significantly after piercing, the short-circuit contact part is deformed, and poor contact occurs. Heat is no longer emitted at this point, so the voltage tends to stabilize, and the battery temperature rises only slightly.
5. LiFePO4 battery energy density
Weight energy density is an important indicator of battery performance. Figure 5 shows that a 20Ah lithium iron phosphate is fully charged and 0.3C rate discharged to 2.0V. The discharge curve can be integrated to obtain the energy released by the battery.
After the integral calculation, the 20Ah lithium iron phosphate battery released 70.7 Wh of energy. The weight of the battery is 580g, so the weight energy density of the lithium iron phosphate battery can be calculated as 121.90Wh/kg.
6. LiFePo4 battery discharge at different temperatures
Due to the large regional differences in the use of electric vehicles, some places have low-temperature weather conditions in winter, and the low temperature will inevitably have a certain impact on battery performance.
Therefore, to understand the discharge performance of LiFePO4 batteries at low temperatures, the test will be a 20Ah LiFepP4 battery stored at -20℃, -10℃, 0℃, 25℃ and 55℃ for 20 hours. Then in this low-temperature environment at 0.3 °C times the discharge rate (at room temperature, 0.3 °C discharge capacity of 100%). The results are shown in Figure 6.
Figure 6 shows that the LiFePO4 battery can only release about 55% of its capacity at room temperature at -20°C, so it may adversely affect electric vehicles during operation. However, the discharge capacity of a single battery decreases more as the temperature decreases.
Electric vehicles usually combine hundreds of batteries, and when the battery is running, some heat is released, and the battery’s temperature needs to rise.
Therefore, in battery packs in practical applications, the low-temperature discharge problem is not very serious. During the test, due to the large exposed specific surface area of a single battery, the temperature is the same as the ambient temperature, so the discharge capacity is greatly affected.
At higher temperatures, LiFePO4 batteries are less affected. For example, the discharge capacity of the battery at 55°C is slightly increased compared to 25°C.
Bottom Line
The above research shows that lithium iron phosphate battery has a long life, high safety, and high energy density. At the same time, the lithium RV battery does not use lead, cadmium, mercury, hexavalent chromium, and other toxic heavy metals in the entire production process.
The battery packaging materials do not contain polybrominated biphenyls and polybrominated diphenyl ethers, and the LiFePO4 battery is also more environmentally friendly. Therefore, the lithium iron phosphate battery will find wider application in electric vehicles and large-scale chemical energy storage.







